Introduction
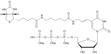
			Biotin-11-UTP (cat. no. C404B) is supplied in lyophilized form.
Biotin-11-UTP can be enzymatically incorporated into RNA with T7, T3 and SP6 RNA polymerases , as well as other RNA modifying enzymes. The number‘11’ is the number of atoms in the linker between biotin and UTP. Biotinylated RNA can be used in place of radioactively labeled RNA in many applications, including cRNA amplification and labeling for microarray target preparation. Detection is then carried out via one of a variety of streptavidin-based methods.
| Specifications: Storage: Store at -20°C |  | 
Applications
Indirect non-radioactive enzymatic labeling of RNA during in vitro transcription.


 
		
 
		